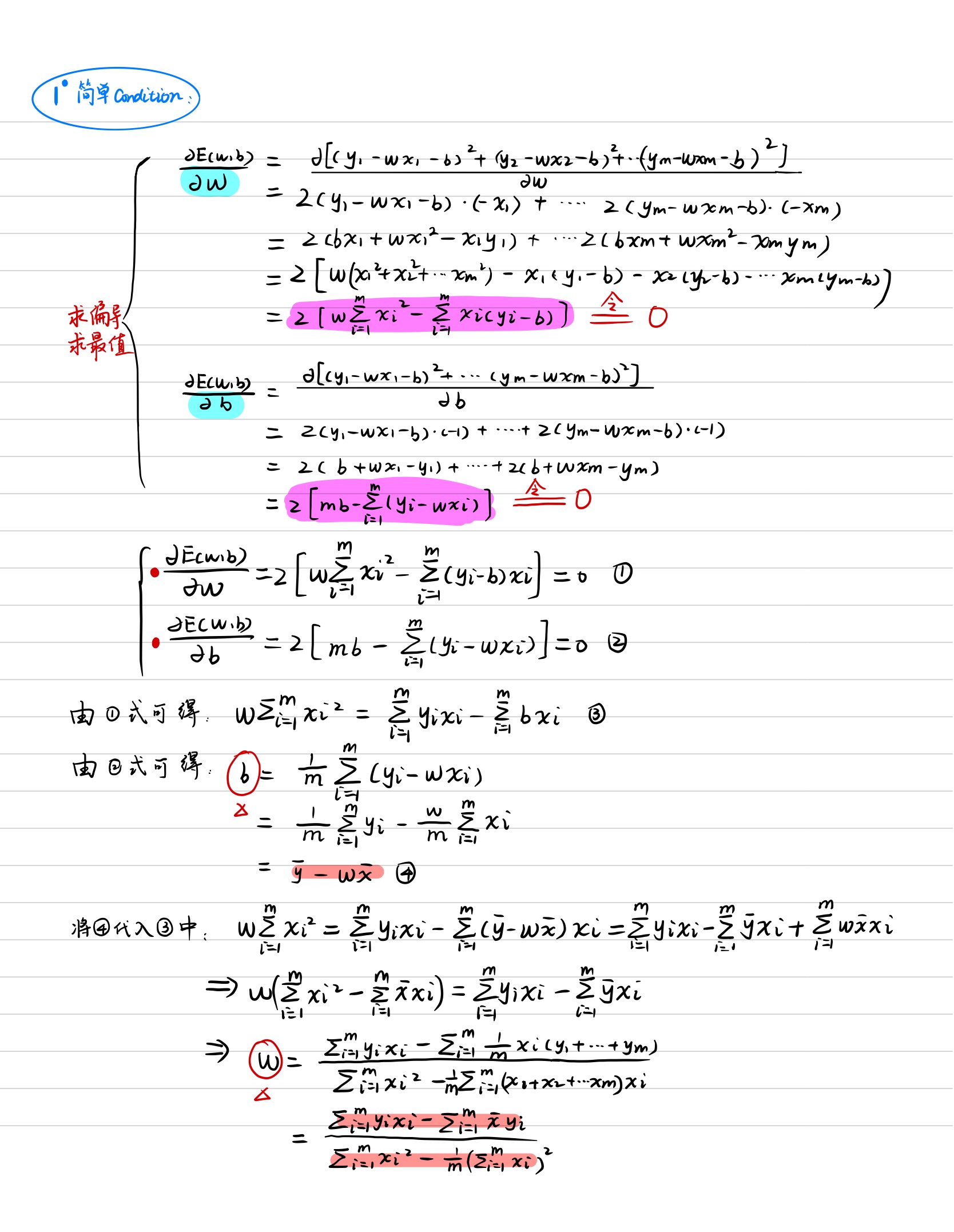
在ipad的Goodnotes记了笔记,导出为图片记录在CSDN上。 转载请标明出处:周志华《机器学习》(西瓜书)学习笔记――第三章线性模型文章来源: https://blog.csdn.net/karry_zzj/article/details/92660299 标签 周志华