光的衰减

匿名 (未验证) 提交于 2019-12-02 23:43:01

转自:http://www.devacg.com/?post=527

光随距离衰减。所以,远离光源的物体会变暗一些。现实世界里,光强度反比于物体和光源距离的平方。

此处i为光强,d为距离。

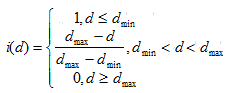
实践中,上面公式并不方便,我们常用另一个简单的基于辐射衰减距离的模型替代,在辐射衰减距离之外,光线将完全衰减为0。通常,可在光线有效射程内使用线性插值表现光随距离d的衰减:

如上,实际有两个辐射衰减距离。在dmin内,光强不衰减;dmin至dmax,光强由1减至0;超出dmax,光强一律为0。dmin控制开始衰减的距离,常设为0,表示光一旦射出即开始衰减;dmax是真正的衰减距离,此距离之外,光完全失效。

距离衰减也适用于点光源和聚光灯(平行光无衰减)。聚光灯还多出一个Hotspot辐射衰减半径,表示光亮在光锥边上的衰减。

一旦计算出衰减系数i,即可将它乘以镜面反射分量和漫反射分量。记住环境光是没有衰减的,这很显然。

转载请标明出处:光的衰减
文章来源: https://blog.csdn.net/martinkeith/article/details/92638617
标签
易学教程内所有资源均来自网络或用户发布的内容,如有违反法律规定的内容欢迎反馈
该文章没有解决你所遇到的问题?点击提问,说说你的问题,让更多的人一起探讨吧!