1.随机过程
Y是一个随机变量,与t有关
2.状态空间与参数空间
状态空间:对于一个随机过程,其取值所在的空间
参数空间:其随机过程中所有参数所在的空间,若参数空间离散,则Yt为离散随机过程,若参数空间连续,则Yt为连续随机过程
3.均值,方差,协方差
均值:u = E(Yt)
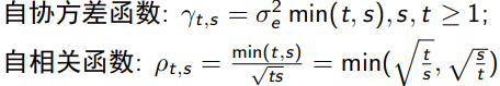
自协方差函数:γt,s = Conv(Yt, Ys)
自相关函数:ρt,st, Ys)/ sqrt(Var(Yt)*Var(Ys
4.两个简单的随机过程
随机游动过程
et) = 0 Var(ete2
Y= Y+ et
u= 0
Var(Yt) = tσe2

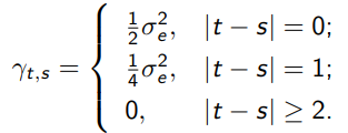
滑动平均过程
et) = 0 Var(ete2
Y= (et + et-1) / 2
ut = 0
Var(Yt) = 0.5 * σe2

