5G同步信号(PSS/SSS)及其时频资源
同步信号
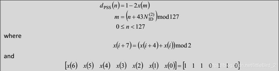
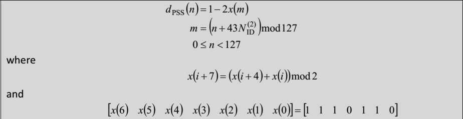
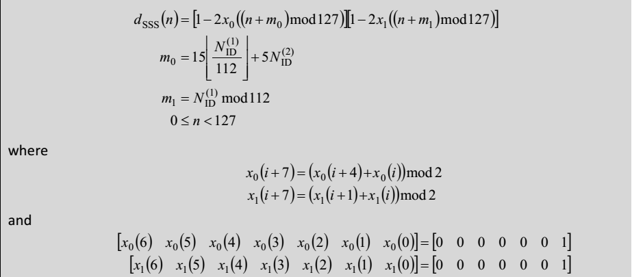
5G定义了1008个物理小区ID,取值范围0~1007,由如下公式表示




SS/PBCH block
SS/PBCH block定义了PSS、SSS、PBCH以及PBCH关联的DMRS在时频资源的映射。每个SS/PBCH block在时域上包含4个OFDM符号,编号0~3;在频域上,一个SS/PBCH
block占用240个连续的子载波,子载波在block内编号0~239。具体的时频资源映射见38.211-Table7.4.3.1-1:

根据上表,在一个SS/PBCH block中,PSS、SSS、PBCH的映射可以用下图表示

SS/PBCH block频域位置
0~239只是在一个SS/PBCH block里面的子载波编号,那么在整个CRB中,SS/PBCH
block处于什么位置呢?
ssb-SubcarrierOffset
SS/PBCH block时域位置
在一个携带SS/PBCH block的半帧中,有多个候选时刻可以放置SS/PBCH block,这些候选时刻的第一个符号的索引由子载波间隔决定,具体情况如下表所示,针对表中的索引,索引0指的是半帧中的第一个时隙的第一个符号:

可以看到,对于不同的情况,候选SS/PBCH block时刻会有多个,即L=4、L=8、L=64。
对于初始小区选择,UE可以假定携带有SS/PBCH block的半帧以2帧(20ms)为周期。
文章来源: https://blog.csdn.net/zhangbijun1230/article/details/90762659